Конференция KDD 2025 в цифрах
В начале августа в Торонто прошла KDD 2025 — ведущая конференция по поиску знаний и анализу данных. Событие посетили инженеры из Яндекса, которые принесли нам слайды с занимательной статистикой, а также поделились интересными статьями.
Главные цифры конференции:
— 2332 зарегистрированных участника;
— более 700 научных работ в основных и прикладных треках;
— в программе — шесть тематических дней, 30 воркшопов и 30 обучающих сессий.
В этом году больше всего заявок поступило из Китая (43,8%), США (24,5%) и Индии (11,7%), а среди принятых статей доля Китая выросла до 55,8%. Спонсорами выступили Google, Meta*, Amazon, Baidu, LinkedIn, Tencent, Bloomberg, Apple и другие технологические компании.
В исследовательском треке главный студенческий приз получила работа по снижению смещения в рекомендательных системах. А награду Test of Time присудили исследованию коллаборативного DL для рекомендательных систем.
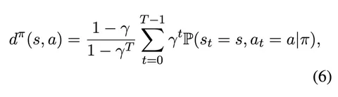
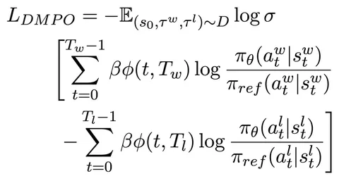
Больше деталей и цифр — на слайдах.
Компания Meta, владеющая Instagram, признана экстремистской; её деятельность в России запрещена.
За статистикой следил❣ Сергей Мить
Душный NLP








В начале августа в Торонто прошла KDD 2025 — ведущая конференция по поиску знаний и анализу данных. Событие посетили инженеры из Яндекса, которые принесли нам слайды с занимательной статистикой, а также поделились интересными статьями.
Главные цифры конференции:
— 2332 зарегистрированных участника;
— более 700 научных работ в основных и прикладных треках;
— в программе — шесть тематических дней, 30 воркшопов и 30 обучающих сессий.
В этом году больше всего заявок поступило из Китая (43,8%), США (24,5%) и Индии (11,7%), а среди принятых статей доля Китая выросла до 55,8%. Спонсорами выступили Google, Meta*, Amazon, Baidu, LinkedIn, Tencent, Bloomberg, Apple и другие технологические компании.
В исследовательском треке главный студенческий приз получила работа по снижению смещения в рекомендательных системах. А награду Test of Time присудили исследованию коллаборативного DL для рекомендательных систем.
Больше деталей и цифр — на слайдах.
Компания Meta, владеющая Instagram, признана экстремистской; её деятельность в России запрещена.
За статистикой следил
Душный NLP
3 622 просмотров · 15 реакций
Открыть в Telegram · Открыть пост на сайте